Abstract
Introduction: MGUS is generally an incidental finding in the diagnostic work-up for clinical signs and symptoms suggestive of lymphoplasmacytic malignancies (multiple myeloma, light chain amyloidosis, and Waldenström macroglobulinemia), which are relatively rare (<35,000 annual new cases in the US). While much is known about the natural history of MGUS, information regarding the pre- and post-diagnostic part of MGUS patient care is lacking. Our study objectives were to determine the following: 1) indications for monoclonal protein testing; 2) subsequent diagnoses found for those indications; 3) specialty of ordering clinicians; 4) follow-up patterns after MGUS diagnosis.
Methods: We identified MGUS patients residing in southeastern Minnesota who were diagnosed from 2011-2014 and followed at the Mayo Clinic. Medical records were reviewed to confirm the diagnosis and obtain relevant clinical data. Laboratory tests and visits were identified using Current Procedural Terminology-4th edition (CPT-4) codes from billing data. We defined a follow-up visit as: 1) any face-to-face encounter linked to MGUS diagnosis 30 days after the date of MGUS diagnosis regardless of whether ancillary test was performed or not; and 2) MGUS-specific tests or laboratory tests linked to an MGUS diagnosis claim performed without a face-to-face encounter. Based on the Mayo Clinic MGUS risk stratification model, we classified our cohort into either low-risk or non-low risk. Criteria for low-risk used were: serum monoclonal protein <1.5 g/dL, IgG subtype, and normal serum free light chain ratio. Follow-up patterns were analyzed according to year of diagnosis, demographics, and the specialty of clinicians performing the follow-up.
Results: 330 MGUS patients were included in the study. The median age at diagnosis was 73 years (range, 21-98) and most were males (59.7%). The common indications for monoclonal protein studies were neuropathy (19.6%), kidney disease (13.6%), anemia (12.7%), bone symptoms/signs (12.7%), cutaneous disorders (5.8%), congestive heart failure (4.8%), and hypercalcemia (2.7%). The most common subsequent diagnoses for these indications were neuropathy not otherwise specified (NOS;100%), chronic kidney disease NOS (35.5%), anemia of chronic kidney disease (19%), osteopenia/osteoporosis (45.2%), congestive heart failure NOS (57.1%), and dermatitis NOS (100%), respectively. The practice specialties that most commonly diagnosed MGUS were internal medicine (31.3%), neurology (13.7%), nephrology (10.3%), family medicine (6.1%), and hematology (5.8%).
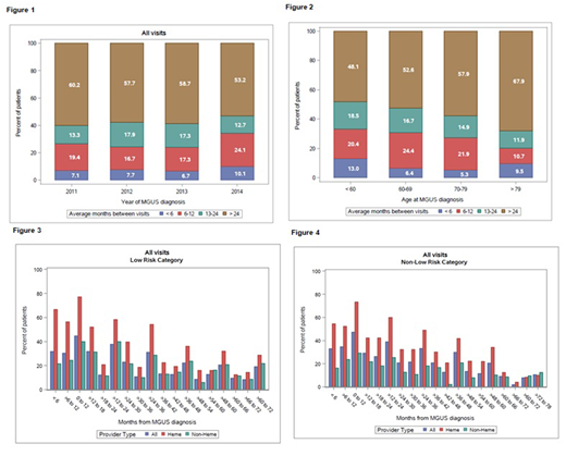
Low risk MGUS comprised 44.8% of the cohort. After a median follow-up of 53.5 months (range, 13.0-77.4; IQR, 40.8-77.4), the total number of follow-up visits was 937. Majority (85.5%) of the visits were a combination of office visit with laboratory testing, while the rest were either office visit (11.2%) or laboratory tests (3.3%) only. The distribution of patients by mean interval between visits was: every <6 months (7.9%); every 6-12 months (19.4%); every 13-24 months (15.2%), and every >24 months or no follow-up at all (57.6%). The follow-up patterns did not change significantly (Kruskal Wallis; P=0.6759) over time (Figure 1) and were similar when age groups were compared (Figure 2; P=0.1328). However, males were followed more frequently than females (P=0.0365). Among patients 80 years and older, 32.1% continued to be followed at least once every 2 years (Figure 2). Hematologists were more likely than non-hematologists to follow MGUS patients regardless of the risk category (Figures 3-4). Among low risk patients, 31.1%, 22.2%, 20.7%, and 19.1% had at least one follow-up during years 2, 3, 4, and 5, after MGUS diagnosis (Figure 3).
Conclusions: Approximately 1/3 of MGUS diagnoses were made during the evaluation of signs and symptoms not related to lymphoplasmacytic malignancies. The subsequent diagnoses found were a wide variety of common diseases. Most MGUS diagnoses were made by general internists, neurologists, and nephrologists. Follow-up practices varied between hematologists and non-hematologists. Nearly 1/3 of the oldest old patients continued to have follow-up, despite limited life expectancy.
No relevant conflicts of interest to declare.
Author notes
Asterisk with author names denotes non-ASH members.
